Free math problem solver answers your algebra, geometry, trigonometry, calculus, and statistics homework questions with stepbystep explanations, just like a math tutor X^2y^2z^22xy2yz2zx 1 See answer plus Add answer 40 pts report flag outlined bell outlined Log in to add comment shaujsr is waiting for your helpSteps Using the Quadratic Formula = { x }^ { 2 } { y }^ { 2 } 2xy1=0 = x 2 y 2 − 2 x y − 1 = 0 All equations of the form ax^ {2}bxc=0 can be solved using the quadratic formula \frac {b±\sqrt {b^ {2}4ac}} {2a} The quadratic formula gives two solutions, one when ± is addition and one when it is subtraction
Find The General Solution Of I X 2 Y 2 P 2xy Q Chegg Com
(vii) (x^(2)-2xy+y^(2))-z^(2)
(vii) (x^(2)-2xy+y^(2))-z^(2)-A) \( \Large \phi \left(xyz, \frac{y}{z}\right)=0\) B) \( \Large \phi \left(\frac{y}{z},\frac{y}{x^{2}y^{2}z^{2}}\right) =0\) C) \( \Large \phi \left(\frac{y}{2Course Title MATH 123;



What Is The Way To Factorize X 2 Y 2 Z 2 Xy Yz Zx Quora
Answer by lenny460 (1073) ( Show Source ) You can put this solution on YOUR website! #x^2y^2z^2x*yx*zy*z = 1/2((xy)^2(yz)^2(xz)^2)# Answer link Related questions How do I determine the molecular shape of a molecule?Maths Tutor Chandigarh, Chandigarh, India 486 likes 7 talking about this My self Sujit Adhikari from Chandigarh If you need Mathematics teacher, please feel free to contact me at
See Answer Check out a sample Q&A here Want to see this answer and more?How is vsepr used to classify molecules?We think you wrote x^2y^2z^22xy/x^2y^2z^22yz This deals with reducing fractions to their lowest terms
Uploaded By MinisterPuppyMaster1570 Pages 247 This preview shows page 91 94 out of 247 pages Hence u v 2w = 0 is the functional relationship between u,5 show that the functions u xyz v x 2 y 2 z 2 2xy 2yz School Andhra University;(xyz)^2 = x^2 y^2 z^2 2xy 2yz 2zx put the value of x^2 y^2 z^2 from eq(4) So, (xyz)^2 = 2x^2 2y^2 2z^2 2xy 2yz 2zx —49 2xy 2yz 2zx (xyz)^2 = 2x^2 2y^2 2z^2 4xy 4yz 4zx —49 (xyz)^2 =2(x^2 y^2 z^2 2xy 2yz 2zx) —4 Continue Reading Given that (xy)^2 z^2 =4




Factorise X Y Z 4 2xy Yz Zx Brainly In



Www Jstor Org Stable
Chapterwise Maths Formulas for Class 10 Chapter 2 Polynomials Chapter 4 Quadratic Equations Chapter 5 Arithmetic Progressions Chapter 6 Triangles Chapter 7 Coordinate Geometry Chapter 8 Introduction to Trigonometry Chapter 10 Circles Chapter 12 Areas Related to CirclesFind all x,y,z such that x^2y^2z^22xy2x(z1)2y(z1) is a perfect squareBy Mesbatur Rahman NiloyID Linkhttps//wwwfacebookcom/MesbaturRahmanIf you wFor more Questions Subscribe our Channel https//youtubecom/c/GRAVITYCOACHINGCENTRE?sub_confirmation=1




Factorise X 2 2xy Y 2 4z 2 Factorise X2 2xy Y2 4z2 Youtube




Factorise X 2 Y 2 Z 2 2xy 2xz 2yz Brainly In
Let, (x y z) = p Given, (x y)^2 (z^2) = 4 Or, (x y z) * (x y z) = 4 Or, (x y z) * p = 4 (1) Given, (y z)^2 x^2 = 9 OrX^2y^2z^2=1 WolframAlpha Rocket science?X 2 y 2 = z 2 Subtract y^ {2} from both sides Subtract y 2 from both sides x^ {2}=z^ {2}y^ {2} x 2 = z 2 − y 2 Take the square root of both sides of the equation Take the square root of both sides of the equation x=\sqrt {\left (zy\right)\left (yz\right)} x=\sqrt {\left (zy\right)\left (yz\right)}




Factorise X2 Y2 Z2 2xy 2xz 2yz Maths Polynomials Meritnation Com




Tangent Plane To X 2 Xy Y 2 Z 0 Youtube
Algebraic Identities For Class 9 With Examples Now that we have provided all the formulas of Algebra Class 9, let's see some examples on the same Question 3 If m 1/m = 11, find the value of m2 1/m2 Answer Using identity (x y z) 2 = x 2 y 2 z 2 2xy 2yz 2xz, we can expand the algebraic expressions Find an answer to your question Factorise x^2y^2z^22xy2xz2yz ImS44D ImS44D Math Secondary School answered Factorise x^2y^2z^22xy2xzSolve dy/dx=2xy/(x^2y^2) check_circle Expert Answer Want to see the stepbystep answer?




X 2 Y 2 Z 2 2xy Youtube




Match The Equations Of The Spheres With One Of The Chegg Com
The square root of y 2 x 2 4 x 2 y 2 − y x 2 x y − 4 3 is equal to y x − 2 1 − 2 x y View solution In each case, find whether the trinomial is a perfect square or notSee the answer Show transcribed image text Expert Answer Previous question Next question Transcribed Image Text from this Question x^2 y^2 z^2 = 0 in a 3D graph Get more help from CheggWhat is the lewis structure for hcn?




13 Find Zss If Z T U V U X2 Y2 V 2xy 14 Find Chegg Com




Lagrange Multipliers Minimum Of F X Y Z X 2 Y 2 Z 2 Subject To X Y Z 9 0 Youtube
The quadratic formula gives two solutions, one when ± is addition and one when it is subtraction y^ {2}2xyx^ {2}=0 y 2 2 x y x 2 = 0 This equation is in standard form ax^ {2}bxc=0 Substitute 1 for a, 2x for b, and x^ {2} for c in the quadratic formula,Maths Formulas Sometimes, Math is Fun and sometimes it could be a surprising fact too In our routine life, you can check the best route to your school, you can check where more discounted products are available in the market, and you can check which bank can offer the superior interests This is all about21 Adding a fraction to a whole Rewrite the whole as a fraction using 4 as the denominator x2 y2 (x2 y2) • 4 x2 y2 = ——————— = ————————————— 1 4 Equivalent fraction The fraction thus generated looks different but has the same value as the whole Common denominator The equivalent fraction




Privado Results




Q Multiply X2 4y2 Z2 2xy Xz 2yz By Z X 2y Q If A B C Are All Non Zero And A B C 0 Then Prove Maths Probability Meritnation Com
Maths Tutor Chandigarh, Chandigarh, India 462 likes 2 talking about this My self Sujit Adhikari from Chandigarh If you need Mathematics teacher, please feel free to contact me atQuestion X^2 Y^2 Z^2 = 0 In A 3D Graph This problem has been solved!Polynomial identities (short multiplication formulas) (x y) 2 = x 2 2xy y 2 (x y) 2 = x 2 2xy y 2 Example 1 If x = 10, y = 5a (10 5a) 2 = 10 2 2·10·5a (5a) 2 = 100 100a 25a 2 Example 2 if x = 10 and y is 4 (10 4) 2 = 10 2 2·10·4 4 2 = 100 80 16 = 36 The opposite is also true 25 a 4a 2 = 5 2



Http Www Math Tamu Edu Glahodny Math251 Section 12 8 Pdf



What Is The Way To Factorize X 2 Y 2 Z 2 Xy Yz Zx Quora
In this video, you will find an interesting activity to verify the algebraic identity (x y z)^2 = x^2 y^2 z^2 2xy 2yz 2zx very useful for cla Some important points to revise from the chapter are • A polynomial p(x) in one variable x is an algebraic expression in x of the form p(x) = a n x n a n–1 x n – 1 a 2 x 2Click here👆to get an answer to your question ️ Factorise (x^2 2xy y^2) z^2




Multiply X2 4y2 Z2 2xy Xz 2yz By Z X 2y Brainly In




Special Products A X Y Z Ax Ay Az X Y X Y X 2 Y 2 X Y 2 X 2
We think you wrote x^2y^2z^22xy/x^2y^2z^22xz This deals with reducing fractions to their lowest termsX2 y2 − z2 2xy − 2xz − 2yz − y = 0 I have looked at this Stack Exchange discussion (on the very same question) Now say we let A be the matrix associated with the quadratic form obtained by ignoring the term − y in the equation above The above discussion states that, once the eigenvectors and eigenvalues of A have been found, all that remains is to put 'it in the central form'Equations Tiger Algebra gives you not only the answers, but also the complete step by step method for solving your equations x^22xyy^2z^2/(x^22xyy^2z^2)o so




Ex 9 5 15 Class 12 Find Solution 2xy Y 2 2x 2 Dy Dx 0 When




Example 21 Factorize 4x2 Y2 Z2 4xy 2yz 4xz Examples
Not a problem Unlock StepbyStepMultivariable Calculus Find the equation of the tangent plane to the surface x^2 xy y^2 z = 0 at the point (2,1,1)For more videos like this one, pleaWhat is the lewis structure for co2?




Solved 5 Consider The Product X Y Z 2 When Multip Chegg Com




Factorise X2 Y2 Z2 2xy Brainly In
13(x – y – z) 2 = x 2 y 2 z 2 – 2xy 2yz – 2xz 14x 3 y 3 z 3 – 3xyz = (x y z)(x 2 y 2 z 2 – xy – yz − xz) 15x 2 y 2 =12(x y) 2 (x – y) 2Not a problem Unlock StepbyStep Extended Keyboard ExamplesX^2 y^2 z^2 = (yz)^2 —9 (zx)^2 —36 (xy)^2 —4 x^2 y^2 z^2 = y^2 z^2 2yz z^2 x^2 2xz x^2 y^2 2xy —49 So, we get x^2 y^2 z^2 = 2x^2 2y^2 2z^2 2xy 2yz 2zx —49 eq(4) Now , we know that (xyz)^2 = x^2 y^2 z^2 2xy 2yz 2zx put the value of x^2 y^2 z^2 from eq(4) So,



Multiply X 2 4y 2 Z 2 2xy Xz 2yz By Z X 2y Sarthaks Econnect Largest Online Education Community



X2 2xy Y2 2ab B2
X^2y^2z^22xy2xz2yz WolframAlpha Rocket science? Stack Exchange network consists of 177 Q&A communities including Stack Overflow, the largest, most trusted online community for developers to learn, share their knowledge, and build their careers Visit Stack ExchangeExperts are waiting 24/7 to provide stepbystep solutions in as fast as 30 minutes!*




X 2y Z X2 4y2 Z2 2xy Zx 2yz Maths Polynomials Meritnation Com




How To Do Implicit Differentiation 7 Steps With Pictures
Consider x^ {2}y^ {2}xy22xy as a polynomial over variable x Find one factor of the form x^ {k}m, where x^ {k} divides the monomial with the highest power x^ {2} and m divides the constant factor y^ {2}y2 One such factor is xy1 Factor the polynomial by dividing it by this factor Factor x^2y^2z^2)^24x^2y^2 as the product of four polynomials of degree 1 , each of which has a positive coefficient of x waffles 0 users composing answers(xyz)^3 (x y z) (x y z) (x y z) We multiply using the FOIL Method x *




Level Surfaces




15 2xy Y 2 Dx 2xy X 2 2x 2y 2 2xy 3 Dy 0 Homeworklib
Find dy/dx x^2y^2=2xy Differentiate both sides of the equation Differentiate the left side of the equation Tap for more steps Differentiate Tap for more steps By the Sum Rule, the derivative of with respect to is Differentiate using the Power Rule which states that is whereFor the differential equation `(x^2y^2)dx2xy dy=0`, which of the following are true (A) solution is `x^2y^2=cx` (B) `x^2y^2=cx` `x^2y^2=xc` (D) `y(x y z) 2 = x 2 y 2 z 2 2xy 2yz 2xz Apart from the stuff given above , if you need any other stuff in math, please use our google custom search here If you have any feedback about our math content, please mail us



How To Factorise X 2 2x Y 2 2y Quora




Solve The System X 2y 2z 2 2x Y 2z 5 X 2y 4z Gauthmath
Click here👆to get an answer to your question ️ Factorise x^2 y^2 z^2 2xyYou need to evaluate all second degree terms, 3x^2−2xy3y^2 In this case it will work, as the coefficients of x^2 and y^2 are equal, so that the terms 2\cos\theta\sin\theta XY will cancel



Services Artofproblemsolving Com Download Php Id Yxr0ywnobwvudhmvys9kl2qxmjg0zti2ytu5mgu3owixodqynmzimzvkytqxnjc3oddhmgmxlnbkzg Rn Cmvhbcbzb2x1dglvbnmucgrm




A Rigid Body Rotates About An Axis Through The Origin With An Angular Velocity 10v3 Radians




The Surface X 2 Y 2 Z 2 2xy Z A Is Shown In The Case A 0 5 Download Scientific Diagram



Www Ualberta Ca Csproat Homework Math 215 Solution 8 Pdf




Calculate The Area Of The Surface X 2 Y 2 Z 2 Chegg Com



Find The General Solution Of I X 2 Y 2 P 2xy Q Chegg Com



Finding An Equation Of A Tangent Plane In Exercises Chegg Com




Factorize 2xy X 2 Y 2 Z 2




Prove That U X 2 Y 2 2xy 2x 3y Is Harmonic And Find Harmonic Conjugate V Edurev Iit Jam Question



How To Draw The Graph Of X 2 Y 2 2x 0 Quora




Factorise Xy Z 2 1 Z X 2 Y 2 Lalajveer




For F X Y X 2 Y 2 2xy Sketch F A For X 0 Mathematics Stack Exchange




Given 2x Y 2z 2 X 2y Z 4 X Y Lamda Z 4 Then The Value Of Lambda Such Youtube




Polynomials Ppt Video Online Download




Factorise Xy Z 2 1 Z X 2 Y 2 Lalajveer



How To Prove That Math X 2 Y 2 Z 2 Xy Yz Zx Math Is Always Positive Quora




Factorise X 2 Y 2 Z 2 Xy Yz Zx Youtube



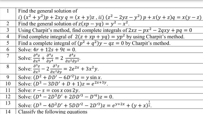
1



Multiply X2 4y2 Z2 2xy Xz 2yz By Z X 2y Studyrankersonline




Answered A In Each Of Problems 1 Through 10 Bartleby




Thumb M Mathpresso Io Qanda Thumbnail Storage Q



X2 2xy Y2 Z2 7 Po 1 1 3 In Exercises 3 Chegg Com



Solved Find The Equations Of The Tangent Plane And Normal Chegg Com




Find Product X Y 2z X 2 Y 2 4z 2 Xy 2yz 2zx Brainly In




Vector Analysis By Alimkanwalimtinaa Issuu




X2 Y2 Z2 2yz See How To Solve It At Qanda




1 A 6 Points Letf Z E 2xy Chegg Com




Factorising Cyclic Expression X 2 Y Z Y 2 Z X Z 2 X Y Youtube



Sketch The Surface X 2 4 Y 2 9 Z 2 1 Find The Chegg Com




Surfaces




Multiply X 2 4y 2 Z 2 2xy Xz 2yz By Z X 2y




Make 2x 2 Y 2 Z 2 X 2 2y 2 Z 2 X 2 Y 2 2z 2 Squares Fun With Num3ers




Q 5 Write 2x2 Y2 Z2 Xy Yz Zx Is Sum Of Three Squa Gauthmath



How To Factor Math X 2 2x Y 2 2y Math Quora



Www Ualberta Ca Csproat Homework Math 215 Solution 7 Pdf



Which Of The Following Should Be Set Equal To X Y Chegg Com




Factorise X2 Y2 Z2 2xy Brainly In




Verify That X Y Z 2 X 2 Y 2 Z 2 2xy 2yz 2zx




Multiply X 2 4y 2 Z 2 2xy Xz 2yz By X 2y Z




Factorize It X2 Y2 Z2 2yz X Y Z Brainly In




Multiply X2 4y2 Z2 2xy Xz 2yz By Z X Xy Brainly In



28 Let W Be The Region Bounded By Y Z 2 2x Y X 0 Chegg Com




न म नल ख त क ग णनख ड ज ञ त कर X 2 Y 2 2xy Z




X Y Z 2 X 2 Y 2 Z 2 2 Yz Zx Xy Youtube




Thumb M Mathpresso Io Qanda Thumbnail Storage Q




Perform The Indicated Operation X Y 3 Y 3 Z 3 X 2 2xy Y 2 Y 2 Yz Z 2 Brainly Com




If Sin 2 Z X 2 Y 2 1 2x Then X Must Be The Equation Sin 2 Z Askiitians



What Is The Graph Of X 2 Y 2 Z 2 1 Quora




How To Do Implicit Differentiation 7 Steps With Pictures



Prove X 2 Y 2 2xy And X 2 Y 2 Z 2 1 3




Find Dy Dx If X 2 2xy Y 2 0 Brainly In




Algorithm For X 2 Xy Y 2 Z 2 With The Solution 1 1 1 That Download Scientific Diagram




The Square Root Of X Y2 Z2 2xy 2yz 2zx




How Do You Solve X Y Z 2 2x Y Z 5 And X 2y 2z 1 Using Matrices Socratic




Prove That Det Yx X 2 Zx Y 2 Xy Z 2 Zx Y 2 Xy Z 2 Yz X 2 Xy Z 2 Yz X 2 Zx Y 2 Is Divi Youtube




Q1 Let F Z U Iv Where U X2 Y2 2xy 2x Chegg Com



If X 2 Y 2 Z 2 2 X Y Z 3 What Is The Value Of 2x 3y 4z Quora




Chapter 5 Factoring And Algebraic Fractions Ppt Video Online Download




Part I Find The Symmetric Equations Of The Normal Chegg Com




Slides Show




Problems On Partial Differentiation U Log X 2 Y 2 Z 2 U Tan 1 2xy X 2 Y 2 Z F X Ay Q X Ay Youtube




What Is The Factor Of X2 2xy Y2 Z2 Brainly In



Gnuplot Demo Script Singulr Dem




Vector Analysis By Alimkanwalimtinaa Issuu




F X Y Z X 2y Y 2z Xz 2 Partial Differential Chegg Com




Let Z F X Y X 2 2xy Y 2 X R Cos Theta Y Chegg Com




How To Do Implicit Differentiation 7 Steps With Pictures




X2 2xy Y2 Z2 Compound Factorisation Brainly In




Consider F And C Below F X Y Z 2xz Y 2 I Chegg Com




Multiply X 2 4y 2 Z 2 2x Y X Z 2y Z By X 2y Z




Given F X Y Z X 2 Y X Z 4 Find F 3 5 2 Chegg Com




Factorise 2x 2 Y 2 8z 2 2 2xy 4 2yz 8xz Brainly In




The Vertex Of The Parabola X 2 Y 2 2xy 4x 4y 4 0 Is




What Is The Solution To This Ode 3x 2 4xy Y 2 Dx 2x 2 2xy 9 Dy 0 Quora
0 件のコメント:
コメントを投稿